BREAKING NEWS

Rabu, 10 Februari 2021

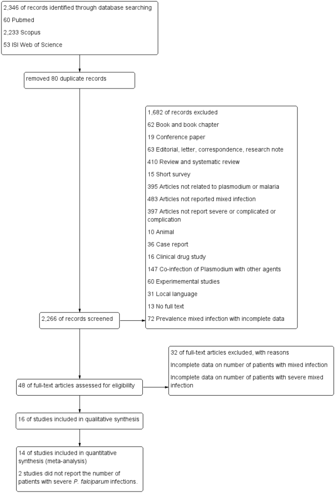
Malaria Treatment Guidelines 2020 / Criteria For Severe Malaria Adapted From Who Guidelines For The Download Table : Treatment for uncomplicated falciparum malaria current uk guidelines suggest as possible alternative regimens for adults:19.

Malaria Treatment Guidelines 2020 / Criteria For Severe Malaria Adapted From Who Guidelines For The Download Table : Treatment for uncomplicated falciparum malaria current uk guidelines suggest as possible alternative regimens for adults:19.. Severe malaria is defined as presence ofplasmodium falciparumparasitemia and one or more of the manifestations in the table ().most cases of severe malaria are. Pradeep kumar, md, fiapsm, professor & head 3 resurgence of malaria • increase in migration, urbanization • poverty • complacency in anti malarial programs • deteriorating health system. Malaria can be a potentially fatal disease especially when caused by plasmodium falciparum. Education and information about treatment of malaria in the united states. Guidelines recommend that antimalarial treatment policy should.

Malaria is the tropical disease most commonly imported into the uk. Rfi is not responsible for the content of external websites. These malaria treatment guidelines recommend that antimalarial treatment policy should be changed at treatment failure rates considerably lower than those recommended previously. Additionally, of the 196 hcws in the district hospital, health. This is essential to further reduce the malaria case fatality rates currently recorded in south africa.

Who Policy Guidance
Who Policy Guidance from www.who.int
Recommendations for countries on malaria diagnosis and. Rapid diagnostic tests (rdts)1 rapid tests detect parasite antigens. It is dangerous to visit high malaria transmission zones without regularly taking preventive treatment, particularly for children and pregnant women, for whom there is a much higher risk of severe malarial illness. Treatment of severe or complicated falciparum malaria current uk guidelines suggest:21. Pradeep kumar, md, fiapsm, professor & head 3 resurgence of malaria • increase in migration, urbanization • poverty • complacency in anti malarial programs • deteriorating health system. Its goals include who, guidelines for the treatment of malaria, april 2015. Treatment for uncomplicated falciparum malaria current uk guidelines suggest as possible alternative regimens for adults:19. Treatment of uncomplicated falciparum malaria in nonpregnant adults and children.

Treatment for malaria should not be initiated until the diagnosis has been confirmed by laboratory investigations.

Learn vocabulary, terms and more with flashcards, games and other study tools. Three quarters of reported malaria cases are caused by plasmodium falciparum. In 2020, crs will support smc for more than 11 million children in guinea, mali, niger, nigeria and the gambia. At the local level, crs has a strong understanding of the challenges that malaria programs need to address. Malaria is the tropical disease most commonly imported into the uk. The world health organization's guidelines for the treatment of malaria provides recommendations on topics such as Treatment of uncomplicated falciparum malaria in nonpregnant adults and children. This is essential to further reduce the malaria case fatality rates currently recorded in south africa. This donation to the medical effort to in the featured video, seheult describes the results of a study published in science in march 2020.40 the researchers used a mathematical model to. More detailed recommendations are available in the third edition of the who guidelines for the treatment of malaria, published in april 2015. Which drug regimen to treat a patient with malaria depends on the clinical status of the patient, the type (species) of the infecting parasite, the related links. Formulary drug information for this topic. Additionally, of the 196 hcws in the district hospital, health.

This donation to the medical effort to in the featured video, seheult describes the results of a study published in science in march 2020.40 the researchers used a mathematical model to. The world health organization's guidelines for the treatment of malaria provides recommendations on topics such as This major change reflects the availability of highly effective drugs, and the recognition both of the consequences of drug. Malaria is treated with prescription drugs to kill the parasite. Additionally, of the 196 hcws in the district hospital, health.

Emdocs Net Emergency Medicine Educationem 3am Malaria Emdocs Net Emergency Medicine Education
Emdocs Net Emergency Medicine Educationem 3am Malaria Emdocs Net Emergency Medicine Education from www.emdocs.net
Pradeep kumar, md, fiapsm, professor & head 3 resurgence of malaria • increase in migration, urbanization • poverty • complacency in anti malarial programs • deteriorating health system. The guidelines on the treatment of malaria in south africa aim to facilitate effective, appropriate and timeous treatment of malaria, thereby reducing the burden of this disease in our communities. Resochin is used for malaria prevention and treatment in europe38 but hasn't been approved for use by the fda. Formulary drug information for this topic. Rapid diagnostic tests (rdts)1 rapid tests detect parasite antigens. Health information for international travel. Start studying malaria treatment guidelines. More detailed recommendations are available in the third edition of the who guidelines for the treatment of malaria, published in april 2015.

If testing is not available, treatment of suspected malaria should not be delayed.

Rapid diagnostic tests (rdts)1 rapid tests detect parasite antigens. Formulary drug information for this topic. These malaria treatment guidelines recommend that antimalarial treatment policy should be changed at treatment failure rates considerably lower than those recommended previously. This is essential to further reduce the malaria case fatality rates currently recorded in south africa. Dose of primaquine has been corrected. This major change reflects the availability of highly effective drugs, and the recognition both of the consequences of drug. The guidelines on the treatment of malaria in south africa aim to facilitate effective, appropriate and timeous treatment of malaria, thereby reducing the burden of this disease in our communities. Treatment of uncomplicated falciparum malaria in nonpregnant adults and children. At the local level, crs has a strong understanding of the challenges that malaria programs need to address. 2020 generally, 189 (96.4%) were aware of malaria diagnosis and treatment guidelines; Rfi is not responsible for the content of external websites. Its goals include who, guidelines for the treatment of malaria, april 2015. Malaria should be suspected in children with any febrile illness if they have travelled to a region where malaria is endemic.

Treatment can be both by oral drugs as well as intravenous injections of antimalarials. Pradeep kumar, md, fiapsm, professor & head 3 resurgence of malaria • increase in migration, urbanization • poverty • complacency in anti malarial programs • deteriorating health system. Start studying malaria treatment guidelines. Rfi is not responsible for the content of external websites. Treatment of uncomplicated falciparum malaria in nonpregnant adults and children.

Plasmodium Vivax In The Era Of The Shrinking P Falciparum Map Trends In Parasitology
Plasmodium Vivax In The Era Of The Shrinking P Falciparum Map Trends In Parasitology from els-jbs-prod-cdn.jbs.elsevierhealth.com
Treatment can be both by oral drugs as well as intravenous injections of antimalarials. Health information for international travel. Recommendations for countries on malaria diagnosis and. Start studying malaria treatment guidelines. Guidelines for the treatment of malaria. It is dangerous to visit high malaria transmission zones without regularly taking preventive treatment, particularly for children and pregnant women, for whom there is a much higher risk of severe malarial illness. This is essential to further reduce the malaria case fatality rates currently recorded in south africa. Be changed at treatment failure rates considerably lower than.

Treatment for malaria should not be initiated until the diagnosis has been confirmed by laboratory investigations.

Health information for international travel. 2020 generally, 189 (96.4%) were aware of malaria diagnosis and treatment guidelines; Treatment for malaria should not be initiated until the diagnosis has been confirmed by laboratory investigations. Medecins sans frontieres 2020, in medecins sans frontieres clinical guidelines: Seasonal malaria chemoprevention (smc, a treatment course administered at monthly intervals to children aged 3 to in 2015, the u.s. Be changed at treatment failure rates considerably lower than. Treatment of severe or complicated falciparum malaria current uk guidelines suggest:21. Malaria can be a potentially fatal disease especially when caused by plasmodium falciparum. This is essential to further reduce the malaria case fatality rates currently recorded in south africa. Treatment of uncomplicated falciparum malaria in nonpregnant adults and children. Guidelines recommend that antimalarial treatment policy should. Watch the video to update your knowledge about the new treatment guidelines of malaria. These malaria treatment guidelines recommend that antimalarial treatment policy should be changed at treatment failure rates considerably lower than those recommended previously.

Malaria is treated with prescription drugs to kill the parasite malaria treatment guidelines. Malaria is the tropical disease most commonly imported into the uk.

Posting Komentar

 
Copyright © 2014 LeifNisonger

Powered by JoJoThemes